Med Educ. 2025 Aug;59(8):833-841. doi: 10.1111/medu.15610. Epub 2025 Jan 23.
Tolerance for uncertainty and medical students' specialty choices: A myth revisited

🧠 전공 선택은 불확실성 인내심 때문일까?
의과대학생의 전공 선택과 uncertainty tolerance의 관계에 대한 신화, 다시 보기
의과대학에서 전공 선택을 앞두고 고민할 때, 가끔 이런 말 들어보셨을 거예요.
“불확실성(uncertainty)에 대한 인내심(tolerance)이 높은 학생은 정신과나 내과로 가고, 낮은 학생은 외과로 간다더라.”
그런데... 정말 그럴까요? 🤔
이번에 소개할 논문은 바로 이 오래된 믿음, 혹은 신화(myth)에 의문을 던진 흥미로운 연구예요. 독일 전역의 의대생들을 대상으로 아주 정성스럽게 설계된 이 연구는, 우리가 알고 있던 통념을 뒤집는 결과를 보여줍니다.
🔍 연구의 배경
이 믿음은 1960년대부터 이어져 왔어요. 초기 연구들은 불확실성에 관대한 학생들이 ‘부드러운 전공(softer specialties)’—예: 정신과(psychiatry), 내과(internal medicine)—을 선호한다고 주장했죠.
하지만 연구팀은 말합니다:
"We were unable to validate the originally postulated rank orders of uncertainty tolerance or find any significant differences in specialty choice across the scales.
우리는 불확실성 인내심의 전공별 순위를 재현하지 못했고, 각 척도에서도 전공 선택에 따른 유의미한 차이를 발견하지 못했다."
즉, 기존 연구들이 주장했던 전공 간 불확실성 인내도의 차이가 재현되지 않았다는 것이죠.
📊 어떻게 연구했을까?
- 참여자: 독일 전역 34개 의과대학의 의학 인턴 563명
- 설문도구: 기존에 잘 알려진 세 가지 척도 사용
- Geller et al.의 수정된 애매성 인내 척도 (modified tolerance for ambiguity scale)
- Gerrity et al.의 불확실성 반응 척도 (PRU scale)
- Simpkin et al.의 시나리오 기반 척도 (uncertainty intolerance scenario-based scale)
- 분석 방법: 전공별 불확실성 인내 점수 평균, 분산, 상관관계 등을 체계적으로 분석
그리고 후속조사에서는 실제 전공 선택(actual specialty choice)까지 반영했어요. 연구 설계 정말 꼼꼼하죠?
❌ 신화는 왜 이렇게 오래 살아남았을까?
연구팀은 이 질문도 아주 깊이 있게 탐구했어요. 정리해 보면, 이 ‘불확실성 인내 = 전공 선택’ 신화는 다음의 기능을 한다고 해요:
1️⃣ 단순한 도구로서의 역할
"It offers a cognitive shortcut that simplifies the complexities of decision-making.
이는 복잡한 의사결정을 단순화하는 인지적 지름길을 제공한다."
즉, 전공 선택처럼 복잡한 문제를 간단한 수치나 척도로 정리하고 싶은 욕망이 이 신화를 계속 유지시키는 거예요.
2️⃣ 권력 관계를 유지하는 기능
"This narrative may unintentionally promote a self-reinforcing perception that students inclined toward these ‘softer’ specialties are in fact superior.
이 내러티브는 '부드러운 전공'을 택하는 학생들이 우월하다는 자기강화적 인식을 무심코 강화할 수 있다."
사실, 초기 이론을 내세운 연구자들이 사회과학 분야 출신이라는 점도 중요한 맥락이에요.
3️⃣ 전공 고정관념(stereotype)을 강화
정신과나 내과는 ‘사려 깊은 전공’, 외과는 ‘기계적이고 직관적인 전공’이라는 오래된 전공별 고정관념도 이 신화에 불을 지피고 있죠.
💡 그럼 전공 선택에 진짜 영향을 주는 건 뭐였을까?
이 질문에 대한 가장 큰 힌트는 2018년 체계적 문헌고찰(systematic review)에서 찾을 수 있어요. 무려 882,209명의 데이터를 분석한 결과, 전공 선택에 영향을 준 주요 요인은 다음과 같았다고 해요:
- 학문적 흥미(academic interests) – 75.3%
- 역량(competences) – 55.2%
- 유연한 근무 환경(flexible work schedule) – 53.0%
- 환자 중심 성향(patient service orientation) – 50.0%
- 멘토나 교수의 영향(teachers or mentors) – 46.9%
- 소득(income), 근무시간(workload), 훈련 기간(training length) 등도 다수 포함
그런데요—
"Neither personality traits nor uncertainty tolerance were the main factors in medical specialty choice.
성격 특성이나 불확실성 인내심은 전공 선택의 주요 요인이 아니었다."
✨ 연구진의 제안: 이렇게 바뀌어야 한다!
이 신화를 없애려면 단순히 “아니다”라고 말하는 걸 넘어서, 의학교육 전반의 패러다임이 바뀌어야 한다고 연구진은 주장합니다.
"Medical education must emphasise the universal importance of uncertainty tolerance across all specialties, framing it as a skill that evolves with training rather than as a fixed trait.
의학교육은 모든 전공에서 불확실성 인내심의 보편적 중요성을 강조해야 하며, 이는 고정된 특성이 아니라 훈련을 통해 발전하는 기술로 인식되어야 한다."
그리고 입시 평가에서는 단순한 수치나 성격 검사보다는,
“지원자의 성장 가능성과 적응력(adaptability and potential for growth)”을 보는 총체적이고 근거 기반(holistic and evidence-based) 접근이 필요하다고 강조합니다.
✅ 마무리하며
불확실성은 의학의 본질 그 자체입니다. 전공 불문, 모든 의사는 불확실한 상황을 마주하게 됩니다. 이 연구는 그런 점을 되새기게 하며, '정신과 = 불확실성 고수 / 외과 = 불확실성 저수용' 같은 이분법적 인식이 얼마나 취약한 근거 위에 세워졌는지를 명확히 보여줍니다.
👩⚕️👨⚕️
우리 모두는 불확실성을 배우는 중입니다.
그리고 그건 특정 전공의 몫이 아니라, 모든 의사들의 성장 과정입니다.
1 서론 (INTRODUCTION)
1962년, 의과대학생의 불확실성에 대한 인내심(tolerance for uncertainty)—이는 불완전하고 불명확하거나 예측 불가능한 정보 속을 헤쳐 나가는 능력으로, 애매성(ambiguity)이라고도 불린다—이 그들이 정신과 의사가 될지 외과 의사가 될지를 결정짓는 요인일 수 있다는 주장이 제기되었다. Budner¹는 성격심리학(personality psychology)을 전공한 학자로, 의대생의 불확실성 인내심과 전공 선택 간의 연관성을 처음으로 제시하였다. 그는 자신이 개발한 측정 도구를 사용하여 학생들의 불확실성 인내심을 측정하였고, 정신의학이나 내과처럼 사회과학 및 인문학과 가까운 "부드러운 전공(softer specialties)"을 선택한 학생들이 외과처럼 "단단한 전공(solid specialties)"을 선택한 학생들보다 더 높은 불확실성 인내심을 보였다고 밝혔다.
이러한 생각은 특히 사회학자, 심리학자, 역학자(sociologists, psychologists, and epidemiologists)들 사이에서 큰 주목을 받았고, 이들은 수정하거나 새롭게 개발된 측정도구를 활용하여 후속 연구를 진행하였다²⁻⁵. 일반적으로 이들 연구는 Budner의 결과를 반복하였으며, "부드러운" 전공을 지망하는 학생들이 불확실성에 대해 더 높은 인내심을 보이며, 외과와 같은 전공을 선호하는 이들은 더 낮은 인내심을 가진다는 결과를 지속적으로 보여주었다.
그러나 사회과학(social sciences)과의 연계가 상대적으로 약한 분야의 연구자들은 이러한 연관성을 재현하는 데 어려움을 겪었으며⁶⁻¹⁰, 이는 초기 연구들의 신뢰도(robustness)에 대한 우려를 불러일으켰다. 특히, 이 연관성을 뒷받침한다고 여겨졌던 주요 연구들 중 일부는 과학적 엄밀성(scientific rigour)이 부족했다. 예를 들어, 한 연구에서는 정신과가 가장 높은 불확실성 인내심을 가진 전공으로 평가된 결과가 단 6명의 의대생을 대상으로 한 하위 집단 분석에서 도출되었으며², 또 다른 연구에서는 Budner의 결과와 다르게 나온 순위가 기존 연구와 일치하도록 조정되기도 하였다⁴. 또 다른 예로는 상·하위 범위를 기준으로 집단을 나누는 비전형적인 통계방법(median split analysis)을 사용하여, 본래 통계적으로 유의미하지 않았던 그룹 간 차이를 강조하기도 하였다³.
더욱이, 의학 전공들이 본질적으로 서로 다른 수준의 불확실성을 지닌다는 주장 자체가 지금까지 체계적으로 조사되거나 검증된 적이 없다. 따라서, 불확실성에 대한 인내심과 의대생의 전공 선택 간의 연관성은 실증적 근거보다는 신화(myth)에 더 가까울 수 있다.
이러한 문제점들에도 불구하고, 불확실성 인내심과 의학 전공 간에 연관성이 존재한다는 믿음은 여전히 설득력 있게 받아들여지고 있다. 이 주장을 다시 다룬 최근 연구에서는, 원래 제안되었던 측정도구(measures)를 활용해 임상과(specialties in clinical medicine)와 외과(surgical specialties) 간의 이분법적 차이를 다시 확인하였으며, 외과가 상대적으로 더 낮은 불확실성 인내심과 관련이 있음을 보여주었다¹¹. 또한, 불확실성 인내심은 최근 들어 의대 입시 기준으로도 제안되고 있는데, 이는 모호한 상황에서의 진료의 질을 높이고, 의료 인력의 불균형 문제를 완화하며, 의사들에게 더 큰 겸손(humility)을 기르게 할 수 있다는 주장과 함께 제시되고 있다¹². 그리고 무엇보다 중요한 점은, 이러한 주장이 여전히 의과대학 교육과정에서 가르쳐지고 있다는 사실이다.
이처럼, 오랫동안 이어져 온 이 믿음이 의과대학의 입학 및 교육과정에 중대한 영향을 미칠 수 있다는 점을 고려할 때, 우리는 전공 선택(specialty choice)과 불확실성 인내심(uncertainty tolerance) 간의 연관성에 관한 초기 주장을 재검토하고자 하였으며, 다음의 네 가지 구체적인 목적을 설정하였다.
- 의도된 전공 선택(intended medical specialty choice)과 불확실성 인내심 간의 관계에 대해, 세 가지 원래 사용된 평가 접근법(assessment approaches)을 활용하여 초기 연구 결과를 재현(replicate)하는 것
- 각 평가 척도별로 학생들의 불확실성 인내심의 분산(variance) 중 어느 정도가 특정 전공 선택에 의해 설명되는지를 분석하는 것
- 해당 척도들의 타당성(validity)을 검토하는 것
- 결과가 의대생의 전공 의도와 실제 선택 여부와 무관하게 나타나는지 여부를 조사하는 것
2 방법 (METHOD)
이 연구는 전향적 단면 연구(prospective cross-sectional online survey study)로, 온라인 설문을 기반으로 진행되었다. 연구 설계 및 내용은 독일 베를린 샤리테 의과대학(Charité – Universitätsmedizin Berlin)의 기관윤리위원회(Institutional Ethics Committee) (EA4/221/22)와 인턴위원회(Medical Intern Committee of Ethics Committee)로부터 승인받았다. 모든 참가자는 연구 시작 시점에서 온라인으로 서면 동의서(written informed consent)를 제출하였다. 본 연구의 보고는 관찰연구 보고 지침(STROBE guideline)에 따라 수행되었다 (보조자료 S1 참고).
2.1 참가자 및 모집 (Participants and recruitment)
여러 의과대학 소속 학생들의 다양한 의견을 수렴하고, 이미 다양한 의학 전공을 접한 이들의 폭넓은 정보를 확보하기 위해, 우리는 독일 전역의 여러 의과대학에서 실무실습 마지막 해(final practical year)를 수행 중인 의대생(의학 인턴)을 대상으로 조사를 시행하였다. Geller 외²(R² = 0.20)와 Gerrity 외³(R² = 0.19)의 연구에서 제시된 효과크기(effect size)를 검출하고자 할 경우, 검정력(power) 0.80, 유의수준(alpha) 0.05 조건 하에서 필요한 표본 수는 200명(f = 0.24)으로 계산되었다.
충분히 크고 다양한 표본을 확보하기 위해, 우리는 독일 전역 40개 의과대학 부속병원(37개 공공기관, 3개 민간기관)의 의학 인턴 코디네이터들에게 본 연구 참여를 요청하였다. 온라인 설문 링크가 포함된 안내문은 이메일과 의학 인턴 전용 학습 플랫폼을 통해 배포되었다. 그 결과, 총 34개 의과대학에서 인턴들이 참여하게 되었다 (참여 대학 목록은 보조자료 S2 참고).
2023년 2월부터 6월까지 총 611명의 의대생이 참여하였으며, 이 중 중복 응답자 31명과 실무실습 중이 아닌 17명을 제외한 563명의 인턴 데이터를 분석에 사용하였다. 설문을 완료하고 1년 후 후속 연구에 참여하겠다고 연락처를 남긴 참가자들(n = 563)에게는 2024년 6월~7월 사이 다시 연락하였다.
2.2 설문 도구 (Survey questionnaire)
불확실성 인내심(uncertainty tolerance)과 전공 선택(specialty choice) 간의 관계를 측정하기 위해, 본 연구는 다음의 세 가지 검증된 도구(validated instruments)를 사용하였다:
- Geller 외²의 수정된 애매성 인내 척도(modified tolerance for ambiguity scale)
- Gerrity 외³의 의사의 불확실성 반응 척도(PRU, Physicians’ Reaction to Uncertainty scale)
- Simpkin 외⁶의 시나리오 기반 불확실성 회피법(uncertainty intolerance scenario-based method)
각 도구의 문항 내용은 보조자료 S2에 상세히 정리되어 있다.
- 수정된 애매성 인내 척도(modified tolerance for ambiguity scale)²는 Budner¹의 원래 도구를 간략화하여 개발한 4문항짜리 도구이며, 6점 척도(‘전혀 동의하지 않는다’~‘매우 동의한다’)로 응답하도록 되어 있다. 이 도구에는 원래 버전에 없던 문항(문항 4)이 포함되어 있는데, 이는 “의사라면, 정신과 의사의 불확실함보다는 외과의사나 영상의학과 의사의 명확하고 결정적인 업무를 선호하겠다”는 식의 진술로, 정신과는 불확실성이 높고 외과와 영상의학은 낮다는 가설을 전제로 한다. 따라서, 이 문항이 결과에 미치는 편향 가능성(potential bias)을 고려하여, 본 연구에서는 해당 문항의 포함 여부에 따른 결과의 차이를 검토하였다.
- PRU 척도(Physicians’ Reaction to Uncertainty scale)³는 총 13문항으로 구성되며(예: “환자 진료의 불확실성이 종종 나를 괴롭힌다”, “환자 진료에 포함된 불확실성이 불안하게 만든다”), 응답은 동일하게 6점 척도로 이루어진다. 주목할 점은, Gerrity 외³의 초기 연구에서 전공별 불확실성 인내 순위가 Geller 외² 및 Budner¹와 반대로 나타났다는 점이다. 이후 나이, 성별, 직업경험 등의 보정요인(cofactors)을 조정한 후에야 기존 연구와 유사한 결과가 나왔다.
- 반면, Simpkin 외⁹의 시나리오 기반 도구(scenario-based instrument)는 앞선 두 도구처럼 불확실성 인내심을 고정된 특성(trait)으로 보지 않고, 상황에 따라 달라지는 특성(situation-dependent)으로 간주한다. 이 도구는 심장, 호흡기, 감염, 정신건강에 관한 네 가지 의학적 상황을 제시하며, 각각의 상황에는 불확실성 수준(very high ~ very low)에 따라 네 가지 표현 방식이 주어진다. 총 16개의 시나리오가 구성되며, 예를 들어 불확실성이 낮은 심장 사례는 “진단은 심막염(pericarditis)이다”로 표현되고, 불확실성이 높은 경우는 “심막염이 의심되나 확실하지 않다”로 진술된다. 응답자는 각 시나리오에서 표현된 불확실성에 대한 불안 수준을 6점 척도로 평가한다. 이 연구는 언어적 표현의 차이가 인지된 불확실성 수준에 영향을 미치긴 하지만, 전공 선택과는 유의미한 관련성이 없었다고 보고하였다.
본 연구의 1차 조사(wave 1)에서는 Geller와 Gerrity의 척도 전체와 함께, Simpkin 외의 도구 중 각 질환 영역별 불확실성 수준 하나씩(총 4개 시나리오)만을 포함하였다. 또한 참가자의 전공 희망(intended specialty choice)을 함께 물었다. 후속 조사(wave 2)에서는 동일한 설문지를 사용하되, 이번에는 실제 전공 선택(actual specialty choice)을 질문하였다. 전체 문항은 보조자료 S2 참고.
2.3 주요 및 부차적 평가 지표 (Primary and secondary endpoint measures)
우선, 척도별 불확실성 인내 순위(order of uncertainty tolerance)를 재현하고, 척도 간 순위의 상관관계(correlations)를 분석하기 위해, 주요 평가 지표(primary endpoint)는 각 전공 희망군별로 계산된 불확실성 인내 평균 점수(1~6점)였다.
Simpkin 외⁹는 전공 희망과 불확실성 인내심 간에 관련성이 없다고 하였지만, Geller 외² 및 Gerrity 외³는 전공별 차이를 보고하였으며, 특히 외과(surgery)를 희망하는 학생에서 가장 낮은 점수를, 일반의학(general medicine)과 내과(internal medicine)를 지망하는 학생에게서 더 높은 점수를 확인하였다. Gerrity 외³는 내과 희망 학생이 일반의학 희망 학생보다 더 높은 불확실성 인내심을 보였다고도 하였다. Geller 외²는 정신과(psychiatry) 지망 학생(단 6명)에 대해 가장 높은 불확실성 인내심을 보고하였지만, 해당 전공은 타 연구에서 분석되지 않았다. 우리는 다음의 순위를 검증하였다: 내과 > 일반의학 > 외과 (internal medicine > general medicine > surgery).
부차적 평가 지표(secondary endpoint)는 전공 선택이 불확실성 인내심의 분산을 얼마나 설명하는가였으며, 3차 지표(tertiary endpoint)는 사용된 세 도구의 내적 타당도(internal validity)와 Pearson 상관계수(Pearson correlation coefficient) 분석이었다.
2.4 분석 방법 (Analysis)
(1) 세 척도를 통한 전공별 불확실성 인내심 차이를 재현하기 위해, 전공을 다음과 같이 네 집단으로 분류하였다:
- 외과/산부인과(surgery/gynaecology) (n = 136)
- 내과(internal medicine) (n = 103)
- 1차 진료(primary care) (n = 50)
- 기타(other) (n = 274), 정신과 포함(psych → n = 34)
그 후, 4(전공) x 3(척도) 혼합분산분석(mixed ANOVA)을 실시하고, Greenhouse–Geisser 보정 및 Bonferroni 사후검정을 수행하였다. 효과크기는 Eta 제곱(η²)으로 제시되며, 이는 독립변인이 종속변인의 분산을 얼마나 설명하는지를 나타낸다.
(2) 전공 분류와 무관한 전공 선택에 따른 체계적 차이를 분석하기 위해, 각 척도에 대해 intraclass correlation(ICC)을 추정하고, 다층선형모형(multilevel linear model)을 사용하여 random intercept 기반 분석을 실시하였으며, 최대우도 χ²검정(maximum likelihood χ²-test)으로 유의성을 검토하였다.
(3) 도구의 타당도 및 상관도 검증을 위해, 내적 일관성(internal consistency)과 도구 간 상관관계, 후속 데이터 기반 재검사 신뢰도(retest reliability)를 측정하였다. 또한, 후속 조사에서 확인된 최종 전공 선택(actual specialty choice)을 활용하여 효과의 안정성(stability)을 평가하였다. 유의수준 P ≤ 0.05 이상인 효과만을 통계적으로 유의하다고 간주하였다. 모든 분석은 IBM SPSS 23.0을 사용하였다.
3 결과 (RESULTS)
3.1 참가자 (Participants)
전체 참가자 수는 563명이었으며, 중앙값 연령은 26.0세(평균: 27.2세, 표준편차 SD = ±3.8)이었다. 전체의 70.3% (n = 396)가 여성(female), 29.0% (n = 163)가 남성(male), 0.4% (n = 2)가 남녀 모두 아님(neither)이라고 응답하여, 여성 비율이 독일의과의사회(German Medical Association)가 발표한 의대생 성별 분포(약 67% 여성)보다 약간 높았다. 본 연구는 할당표본법(quota sampling)을 적용하지 않았으나, 참가자들의 희망 전공 분포(intended medical specialty distribution)는 독일의과의사회가 발표한 전국 의대생 분포와 유사한 경향을 보였다 (표 1 참고). 후속 조사(follow-up)에서는 263명이 본인의 실제 전공 선택(actual specialty choice)을 보고하였으며, 이 중 68.8% (n = 181)는 1년 전 희망했던 전공과 동일한 전공을 선택하였다.
📊 표 1. 본 연구 참여자와 독일의과의사회 자료에 근거한 대표적 의대생 집단 간 희망 전공 분포 비교

3.2 전공별 불확실성 인내 순위의 재현 (Replicability of rank order)
의학 전공별 불확실성 인내 순위(rank order of uncertainty tolerance)는 사용된 세 가지 척도 간에 체계적으로 차이가 있었다(P = 0.003, η²ₚₐᵣₜ = 0.02; 그림 1). 이는 불확실성 인내도가 어떤 척도를 사용하느냐에 따라 달라질 수 있음을 시사한다. 그러나 개별 척도 내에서는 전공 간 순위 차이가 유의하지 않았다.
- PRU 척도: P = 0.069, η²ₚₐᵣₜ = 0.01
- 시나리오 기반 척도: P = 0.11, η²ₚₐᵣₜ = 0.01
단 하나, 수정된 애매성 인내 척도(modified tolerance for ambiguity scale)에서만, 문항 4를 포함한 경우에 한해, 유의한 전공 간 차이가 관찰되었다 (P = 0.004, η²ₚₐᵣₜ = 0.02). 이 경우, 외과를 선택한 참가자들이 내과 또는 기타 전공을 선택한 참가자들보다 불확실성 인내심이 낮았다. 그러나 문항 4를 제외할 경우, 이 척도에서도 전공 간 차이는 유의하지 않았다 (P = 0.41, η²ₚₐᵣₜ = 0.01).
이러한 패턴은 후속 조사에서 확인된 실제 전공 선택(actual specialty choices)을 기준으로 분석했을 때도 동일하게 유지되었다.
🖼 그림 1. 전공 및 척도별 불확실성 인내도 (1 = 최소 인내도, 6 = 최대 인내도). 각 막대 안의 숫자는 평균값, 음영 구간은 95% 신뢰구간을 나타냄.

3.3 전공별 불확실성 인내도의 분산 설명력 (Variance in uncertainty tolerance explained by specialty per scale)
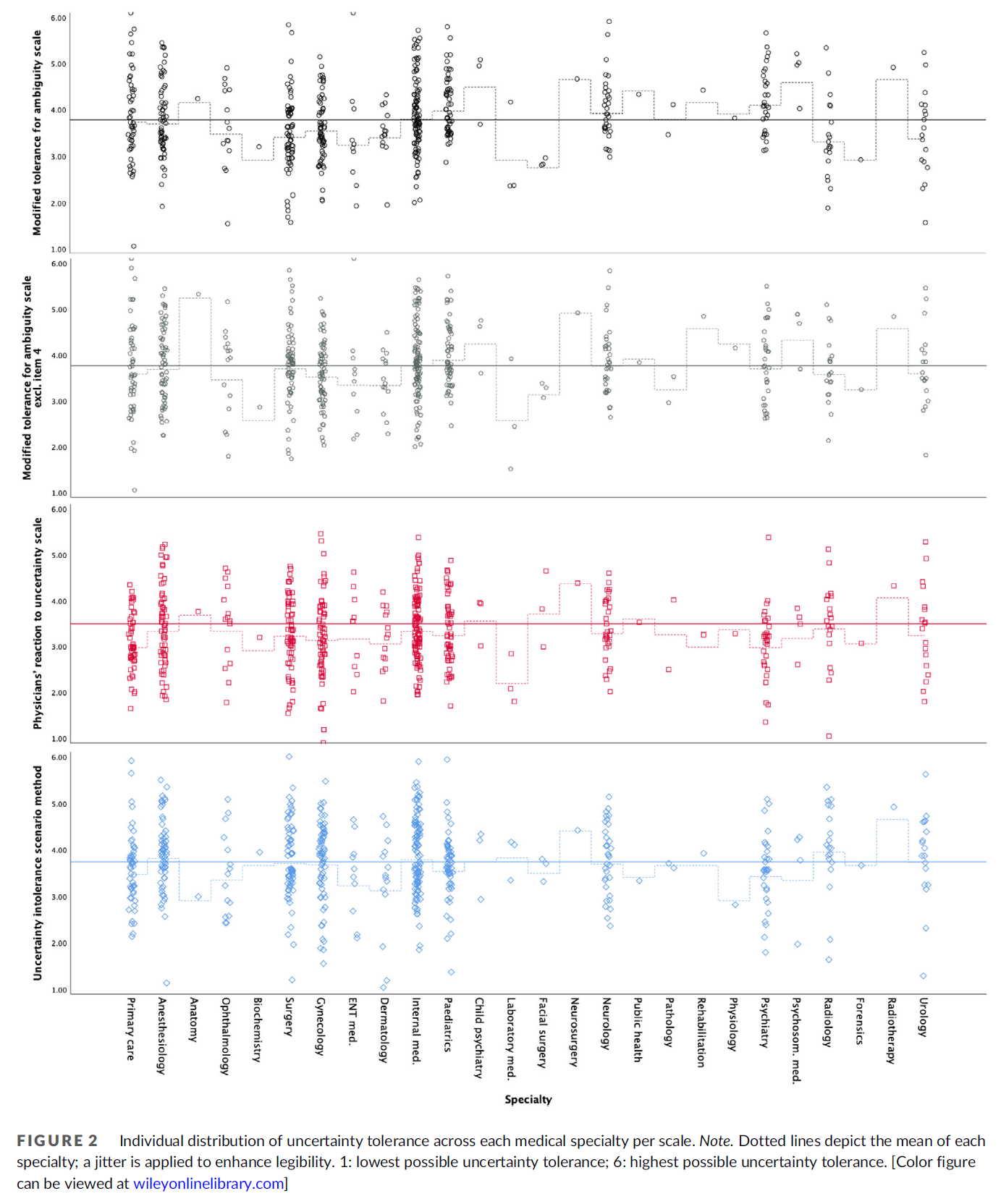
참가자의 희망 전공이 세 가지 평가 도구 중 어떤 것으로도 불확실성 인내도의 유의미한 분산을 설명하지 못했다 (모두 1.5% 미만; χ²(1) ≤ 1.52, P ≥ 0.22; 그림 2 참고). 군내 상관계수(intraclass correlation coefficient, ICC)는 0.005~0.003 범위였으며, 어느 도구에서도 통계적으로 유의한 수준에 도달하지 않았다 (표 2).
단, 문항 4가 포함된 수정된 애매성 인내 척도에서는 약간의 약한 연관성이 확인되었으며, 전공이 전체 불확실성 인내도 분산의 약 8%를 설명하였다 (χ²(1) ≤ 15.09, P ≤ 0.001; 표 2). 문항 4 단독 분석 시, 무려 26.6%의 분산을 설명하여, 문항의 암시적 효과가 매우 큼을 보여주었다 (χ²(1) = 87.60, P ≤ 0.001).
이러한 결과는 후속 조사에서의 실제 전공 선택을 기준으로 분석했을 때도 동일하게 유지되었다 (표 2).
🖼 그림 2. 전공 및 척도별 불확실성 인내도의 개별 분포 (점선은 각 전공군의 평균값, 수평 방향으로 jitter 적용).

📊 표 2. 전공 선택이 설명하는 불확실성 인내도의 분산 (Intraclass Correlation 기준)

3.4 평가 도구의 타당도 검증 (Validation of established scales)
총 13문항으로 구성된 PRU 척도³는 가장 높은 내적 타당도(internal validity)를 보였으며, Cronbach’s α = 0.89였다. 그 다음으로는, 본 연구에서는 4개 시나리오만 사용했음에도, 시나리오 기반 척도⁹가 α = 0.79로 높은 신뢰도를 보였다. 이 두 척도는 서로 간의 상관관계도 가장 높았다 (표 3 참고).
반면, 문항 4를 포함한 수정된 애매성 인내 척도²는 낮은 내적 일관성(α = 0.58)을 보였다. 그러나, 문항 4를 제외하면 이 도구의 신뢰도와 타당도가 향상되었으며, 이는 불확실성 인내심을 특정 전공에 대한 암시적인 문장(suggestive item wording)으로 측정하는 방식은 적절하지 않다는 점을 뒷받침한다.
📊 표 3. 세 가지 평가 도구의 타당도 및 상관관계

4 논의 (DISCUSSION)
본 연구는 오랜 기간 지속되어 온 주장, 즉 불확실성 인내심(uncertainty tolerance)이 의학 전공 선택(medical specialty choice)에 영향을 준다는 주장을 체계적으로 재검토하고자 하였다. 이 주장은 최근 들어 의대 입학 전형에서 불확실성 인내심을 평가 기준으로 포함시키자는 요구들12의 핵심을 이루고 있다. 그러나, 오늘날까지도 연구에 영향을 미치고 있는 대표적인 평가 도구들2⁻⁴을 활용했음에도 불구하고, 우리는 불확실성 인내심의 전공별 순위(rank orders of uncertainty tolerance)를 재현하지 못했으며, 세 척도 모두에서 전공 선택에 따른 유의한 차이(significant differences)를 발견하지 못하였다. 더 나아가, 이들 도구로 측정된 불확실성 인내심의 분산이 전공 선택으로 설명되지 않았으며, 이는 양자 간에 체계적인 관계(systematic relationship)가 존재하지 않음을 시사한다. 특히 주목할 점은, 같은 현상(불확실성 인내심)을 측정한다고 알려진 세 평가 도구 간 상관관계(correlation)가 전반적으로 낮았다는 사실이다. 이는 이들 척도가 하나의 통합된 개념(unified concept)을 측정하는 것이 아니라 서로 다른 구성요소(distinct constructs)를 측정하고 있을 가능성을 시사한다.
우리는 지금까지 다수의 검증된 도구들을 포괄적으로 사용하거나, 전공 선택이 설명하는 불확실성 인내심의 분산을 체계적으로 분석한 연구를 알지 못한다. 하지만, 의대생의 불확실성 인내심과 전공 선택 간의 연관성을 입증하지 못한 선행연구들7, 9, 10이 존재하는 것도 사실이다. 그럼에도 불구하고, 이 둘 간의 연관성을 반복해서 주장하거나 확증하려는 연구는 여전히 등장하고 있으며, 불확실성 인내심을 의대 입학 기준으로 포함하자는 주장도 공인 학술지에 발표되고, 더 나아가 의과대학에서 해당 개념이 아직도 교육되고 있다는 점은 우려스러운 현실이다. 이로 인해 다음과 같은 근본적인 질문이 제기된다:
실증적 근거가 부족함에도 불구하고, 이 아이디어(혹은 보다 정확히 말하자면 이 "신화")는 왜 이토록 지속적으로 매혹적인가?
신화(myth)는 다양한 사회적 기능(social functions)을 수행할 수 있다¹³. 의대생의 불확실성 인내심과 전공 선택 사이의 연관성이라는 신화는, 의학 교육 전반에 깊이 뿌리내린 더 큰 신화와 연결되어 있다. 그것은 바로, 이상적인 지원자(the ideal candidate)라는 신화이다. 이 개념은 과거부터 성격검사(personality testing)와 밀접하게 연결되어 왔다.
의과대학은 학문적으로 우수할 뿐만 아니라, 동정심(compassion), 팀워크(teamwork), 정직(integrity)과 같은 의사로서 필수적인 자질을 갖춘 지원자를 선발해야 한다는 과제에 직면해 있다. 이는 단순히 학업 성취만으로 훌륭한 의대생 혹은 의사가 될 수 없다는 인식과도 맞닿아 있으며, 일반 교육 분야의 연구와도 일치한다. 예컨대, 비인지적 능력(non-cognitive skills)이 학업 및 직업 관련 긍정적 성과와 관련됨을 보여주는 연구들이 다수 존재한다¹⁴.
이러한 연구 결과에 따라, 최근 의과대학 입학 전형에서는 성격 특성(personality traits)을 포함한 비학문적 요소(non-academic factors)의 평가가 점점 더 중요해지고 있다¹⁵. 하지만, 성격검사는 의대 학업 성취나 미래 임상 역량을 신뢰성 있게 예측하지 못하는 경우가 많으며¹⁶, 그 효과성 자체가 의문시된다¹⁷. 또한, 성격검사는 공정성(fairness) 및 편향(bias) 가능성에 대한 윤리적 우려(ethical concerns)도 낳고 있으며, 이는 입학 전형에서의 활용을 더욱 복잡하게 만든다¹⁸.
성격검사와 불확실성 인내 평가의 공통점은, 두 평가가 개인의 행동과 특성(human behaviour and characteristics)이 시간과 상황에 관계없이 안정적(stable)이라는 전제를 공유하고 있다는 점이다. 그러나 연구들은 이 전제가 틀렸다는 것을 보여준다. 즉, 성격 특성도, 불확실성 인내심도 상황과 시간에 따라 변할 수 있으며, 실제로 의학교육을 통해 영향을 받을 수 있다.
- 예를 들어, 의대생의 성격 특성을 6년 간의 교육 시작과 종료 시점에 평가한 한 연구는, 신경성(neuroticism), 친화성(agreeableness), 성실성(conscientiousness)에서 유의한 변화를 발견했으며, 이는 의학교육이 성격 발달에 영향을 준다는 점을 시사한다¹⁹.
- 마찬가지로, 의대생의 불확실성 인내심 향상을 위한 교육적 개입(educational interventions)을 검토한 스코핑 리뷰는, 목표 중심의 교육 전략(targeted educational strategies)이 학생들의 불확실성 관리 능력을 향상시킬 수 있음을 결론지었다²⁰.
둘째, 불확실성 인내심과 의학 전공 선택 간의 연관성이라는 신화는 또 다른 중요한 사회적 기능(social function)을 수행한다. 바로 의사결정의 복잡성을 단순화시키는 실용적인 도구, 혹은 보다 정확히 말해 인지적 지름길(cognitive shortcut)을 제공한다는 점이다.
- 예를 들어, Big Five Inventory나 PRU 척도와 같은 겉보기에 간단해 보이는 도구의 존재는, 다면적인 후보자 평가 과정을 하나의 수치로 환원할 수 있다는 착각을 주며 매우 매력적으로 다가온다. 이러한 도구들은 복잡한 판단을 내릴 때 생기는 인지적 부담(cognitive burden)을 덜어줄 뿐 아니라, 의사결정자들이 그 책임을 ‘객관적 지표’로 전가(defer accountability)할 수 있게 해준다—비록 그 지표들이 인간 행동이나 잠재력의 복잡성을 결코 온전히 포착할 수 없음에도 불구하고. 이는 곧 효율성(efficiency)에 대한 욕구와 의미 있는 개별화 평가(individualised assessment)에 대한 필요 사이의 긴장(tension)을 드러낸다.
셋째, 의대생의 불확실성 인내심과 전공 선택 간의 연관성이라는 신화는 사회적 권력(social power)을 구축하거나 유지하는 기능을 수행할 수 있다.
- 초기의 주요 연구들—정신의학과 같은 ‘부드러운 전공(softer disciplines)’을 선호하는 학생들이 불확실성에 더 관대하다고 주장한 연구들—은 주로 해당 전공 분야에 속한 심리학자, 사회학자, 역학자들(psychologists, sociologists, epidemiologists)에 의해 주도되었다.
- 하지만, 전통적으로 생물의학 중심(biomedical orientation)을 우선시하고, 사회과학이나 인문학적 지식에 기반한 접근을 덜 중시해온 의학 분야(medicine)에서 이러한 서사는, ‘부드러운’ 전공을 선택한 학생들이 오히려 더 우수하다는 자기 강화적 인식(self-reinforcing perception)을 의도치 않게 만들어낼 수 있으며, 이것이 이 신화를 더욱 설득력 있게 만든다¹³.
마지막으로, 이 신화는 특정 전공에 대한 오랜 고정관념(stereotypes)과도 잘 맞아떨어진다.
- 예컨대, 외과(surgery)는 성찰(reflection)이나 내성(introspection)이 적은 전공으로, 반면 내과(internal medicine)나 정신과(psychiatry)는 보다 사려 깊고 분석적인 전공으로 인식된다. 외과의는 기계적이고 내과의는 철학적이라는 식의 농담은 이러한 고정관념을 강화하며, 복잡한 전문직 정체성(professional identity)을 간편하게 범주화할 수 있는 프레임(frame)을 제공한다.
- 이는 결과적으로, 전공 선택을 설명하는 데 겉보기에는 논리적인 듯하지만 궁극적으로는 단순화된(reductive) 설명을 제공함으로써, 이 신화를 지속 가능하게 만드는 주요 요인으로 작용한다.
본 연구는, 현재 사용되고 있는 불확실성 인내 척도들로 측정되는 불확실성 인내심이 의대생의 전공 선택을 결정짓는 데 핵심적인 역할을 하지 않음을 보여주었다. 그러나 이 결과가 의료 실천에서 불확실성이 핵심적인 요소라는 사실을 약화시키는 것은 아니다.
우리의 연구 결과는 오히려 다음을 강조한다: 불확실성은 모든 전공에서 존재하며, 모든 의사들이 이를 다루어야 한다. 즉, 예측 불가능한 환자 결과(unpredictable outcomes), 불완전한 정보(incomplete information), 복잡한 의사결정(complex decision-making)은 모든 의학 분야에 보편적으로 존재하는 요소이다. 특정 전공에서 불확실성 수준이 본질적으로 다르다고 주장하는 것은, 의학이라는 직업의 보편적 속성으로서의 불확실성을 간과할 뿐 아니라, 의학교육과 직업 정체성에 대한 이해를 왜곡하는 행위이기도 하다.
실제로, 최근의 체계적 문헌고찰(systematic review)은 다음과 같은 의학교육 개입(medical education interventions)—
- 상호작용형 연기 워크숍(interactive acting workshops),
- 시뮬레이션 임상 세션(simulated clinical sessions),
- 임상 반성 훈련(clinical reflection training)—이
의대생의 불확실성 인내심을 향상시킨다는 사실을 보여주었다²⁰.
이러한 교육적 접근들은 어떤 전공을 선택하든 필연적으로 마주하게 되는 불확실성을 효과적으로 대비할 수 있는 능력을 학생들에게 길러준다.
이제 남는 질문은 다음과 같다: 그렇다면 실제로 의대생의 전공 선택을 결정하는 요인은 무엇인가? 이 주제에 대한 많은 연구들이 존재하지만, 그 대부분은 단일 기관(single-centre)을 기반으로 하며, 표본 수가 적어 성격 검사나 불확실성 인내 검사에서 나타난 것과 유사한 한계점들을 공유할 수 있다. 그러나, 1977년부터 2018년 사이에 발표된 75개의 연구를 체계적으로 고찰한 최신 문헌고찰(systematic review)²¹은, 총 882,209명의 데이터를 분석하여, 의대생의 전공 선택에 영향을 주는 주요 요인들을 다음과 같이 정리하였다:
- 학문적 흥미(academic interests) – 75.3%
- 역량(competences) – 55.2%
- 조절 가능한 라이프스타일(flexible work schedules) – 53.0%
- 환자 중심 성향(patient service orientation) – 50.0%
- 의학 교사나 멘토(medical teachers or mentors) – 46.9%
- 진로 기회(career opportunities) – 44.0%
- 업무량/근무시간(workload or working hours) – 37.9%
- 수입(income) – 34.7%
- 수련 기간(length of training) – 32.3%
- 명성(prestige) – 31.17%
- 주변인의 조언(advice from others) – 28.24%
- 학생 부채(student debt) – 15.33%
이 결과는 연구 간에 이질성이 크기는 했지만, 성격 특성이나 불확실성 인내심은 전공 선택의 주요 요인이 아니라는 점을 분명히 보여준다.
4.1 강점과 한계 (Strengths and limitations)
본 연구는 강점과 한계를 모두 지니고 있다. 가장 큰 강점 중 하나는, 독일 전역의 의과대학 학생들로 구성된 대규모 전국 단위 표본(large, nationwide sample)을 확보했다는 점이다. 이처럼 다양한 표본은 연구 결과의 견고함(robustness)을 높여줄 뿐 아니라, 대학별 교육 방식 차이에 따른 영향을 줄이는 데도 기여한다. 또한 우리는 독자적인 도구를 개발하는 대신, 이미 검증된 세 가지 평가 도구(established tools)를 사용함으로써, 보다 신뢰할 수 있는 재현 환경(replication environment)을 조성하고 결과의 신뢰도(reliability)를 높였다. 더불어, 종단적 연구 설계(longitudinal study design)를 통해 단순히 전공 의도(intended specialty choice)가 아닌, 실제 전공 선택(actual choice)과 불확실성 인내심 간의 연관성을 분석할 수 있었으며, 이는 결과의 안정성(stability)을 검증하는 데도 기여하였다. 하지만, 본 연구의 한계 중 하나는 결과의 일반화 가능성(generalisability)이다. 표본이 독일 내 의대생으로 한정되어 있기 때문이다. 특히, 독일에서는 전공 선택이 다른 국가들과 다른 시점에서 이루어질 수 있기 때문에, 국제적 적용 가능성(applicability)에 영향을 줄 수 있다. 또한 비응답 편향(nonresponse bias)이 존재할 가능성도 있다. 그럼에도 불구하고, 본 연구의 가장 핵심 변수인 학생들의 전공 의도(intended specialty choice)에 있어서는, 대표 설문 조사와 유사한 전공 비율을 확보하였다.
5 결론 (CONCLUSION)
본 연구는, 불확실성 인내심이 의학 전공 선택에 영향을 미친다는 오랜 신화(longstanding myth)를 뒷받침하는 그 어떤 근거도 발견하지 못하였다. 이러한 잠재적으로 해로운 신화(potentially harmful myth)에 효과적으로 대응하기 위해서는 다면적인 접근(multifaceted approach)이 필요하다.
- 의학교육(medical education)은 모든 전공에 걸쳐 불확실성 인내심의 보편적 중요성(universal importance of uncertainty tolerance)을 강조해야 하며, 이를 고정된 특성(fixed trait)이 아닌, 교육을 통해 발전하는 기술(skill that evolves with training)로 인식해야 한다.
- 의대 입학 전형(admissions processes)은 전체적이며 근거 기반의 평가(holistic and evidence-based evaluations)에 초점을 맞추고, 지원자의 성장 가능성(potential for growth)과 적응력(adaptability)을 중시해야 하며, 지나치게 단순화된 지표(overly simplistic metrics)에 의존해서는 안 된다.
- 의학교육자 및 연구자(medical educators and researchers)는 이 신화를 지속시키는 고정관념(stereotypes)에 적극적으로 도전해야 하며, 모든 전공에서 요구되는 다양한 역량에 대한 섬세한 논의(nuanced discussions)를 장려해야 한다.
- 마지막으로, 의료 공동체(medical community) 내에서 신화가 수행하는 사회적 기능(social functions)과 잠재적 편향(potential biases)에 대한 비판적 성찰(critical reflection)을 유도함으로써, 구시대적 서사를 해체하고 보다 공정한 교육 실천(equitable practices)으로 나아갈 수 있어야 한다.